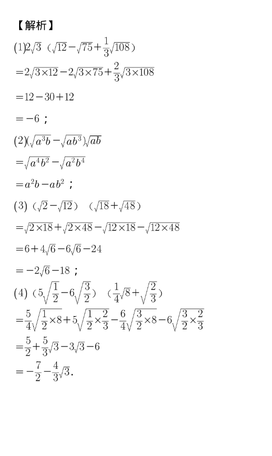
九年级上学期数学华师版第21章二次根式章节测试A卷试卷第一页上方有二维码,长按识别二维码,即可获取试卷答案九年级;解析利用平方差公式$sqrt6 sqrt5sqrt6 + sqrt5 = sqrt6^2 sqrt5^2 = 6 5 = 1$题型三二次根式的混合运算 答案核心思路二次根式的混合运算,需要先进行乘除运算,再进行加减运算,注意运算顺序和括号的使用例题题目计算 $fracsqrt8 +。
1根号8N是整数,N是自然数 ,说明根号下的数字只有是 014 ,所得值才是整数012 所以 8N=0,N=8 8N=1,N=7 8N=4,N=4 即N的值为 4或7或8 2根号24N=根号4x6N=2根号6N 从式子可以直接看出,只有最小N=6 ,2根号6N才是整数 ,所以,N的;2利用二次根式解决长度高度计算问题,根据已知量,求出一些长度或高度,或设计省料的方案,以及图形的拼接分割问题这个过程需要用到二次根式的计算,其实就是化简求值拓展知识数学数学起源于人类早期的生产活动,古巴比伦人从远古时代开始已经积累了一定的数学知识,并能应用实际问题从数学。
九年级上册知识点 第一单元 二次根式 1二次根式 式子 叫做二次根式,二次根式必须满足含有二次根号“ ”被开方数a必须是非负数 2最简二次根式 若二次根式满足被开方数的因数是整数,因式是整式被开方数中不含能开得尽方的因数或因式,这样的二次根式叫做最简二次根式 化二次根式为最简二次根;深入解析初中数学无理数与二次根式的奥秘探索数学世界的奇妙,我们首先遇见的是无理数与二次根式这一概念的基石无理数,就像一个永不结束的故事,它揭示了无限的数字魅力无理数的神秘世界lt无理数,这个听起来似乎有些“无理”的名字,实际上代表了那些不能简单表示为两个整数比值的数比如。
21 189=3*3*3*7 因子必须偶次方根才能开尽,所以n=21 189=9*3*7根号189n是整数所以189n=9*3*7*3*7*m,n=3*7*mn是正整数所以n的最小值=3*7*1=21解189=7*3*3*3因为189n开平方为整数,且n为正整数所以,n=7*3才满足条件,即18n开平方为7*3*3,等于63故 n最小值为21根号189n=根号3*3*3*7n=根号下3的平方*21n;11上下乘以根号3,得出根号33 2上下乘以根号5,得出根号105 21上下乘以根号20,得出4根号1020,化简得根号105 265=5*13,39=3*13 根号a可以上下约去,根号13也可以上下约去,然后上下乘以根号3得出根号153 3。
九年级上学期数学华师版第1章二次根式章节测试A卷试卷怎么用?本套试卷为基础卷,共21道题,要求60分钟内完成如果你。

2020九年级数学教学指南第5讲二次根式抗击疫情,宜昌加油!隔离栏好像根号,不是所有式子可以自由进出;二次根式被开方数不能含开得尽的因式或因数,是要求把二次根式化简成“最简二次根式”例如1根号a^2=a的绝对值 2根号4=2 3根号8=根号2^3=根号2^2 * 2=根号2^2*根号2 = 2根号2 4根号24=根号4*6=2根号6 5根号27=根号3^3=根号3^2。



发表评论